51黑料
兰大主页
English
51黑料
51黑料概况
51黑料简介
学院领导
机构设置
学科设置
学术委员会
学位委员会
教学指导委员会
院训院徽
历任领导
联系我们
师资队伍
荣休教授
教授
副教授
讲师
兼职教授
兼职教师
本科教学
教学动态
专业介绍
培养方案
招生工作
暑期学校
本科教育教学巡礼
研究生培养
培养动态
招生工作
培养方案
科学研究
科研动态
科研项目
主要成果
《中亚研究》
研究机构
智库建设
对外交流
学术来访
出国访问
国际合作
学生交流
党群工作
党建动态
组织机构
工作指南
学生工作
团学动态
学生服务
奖励资助
就业指导
团学组织
校友之家
人才招聘
服务指南
招生工作
培养动态
招生工作
培养方案
51黑料
研究生培养
招生工作
正文
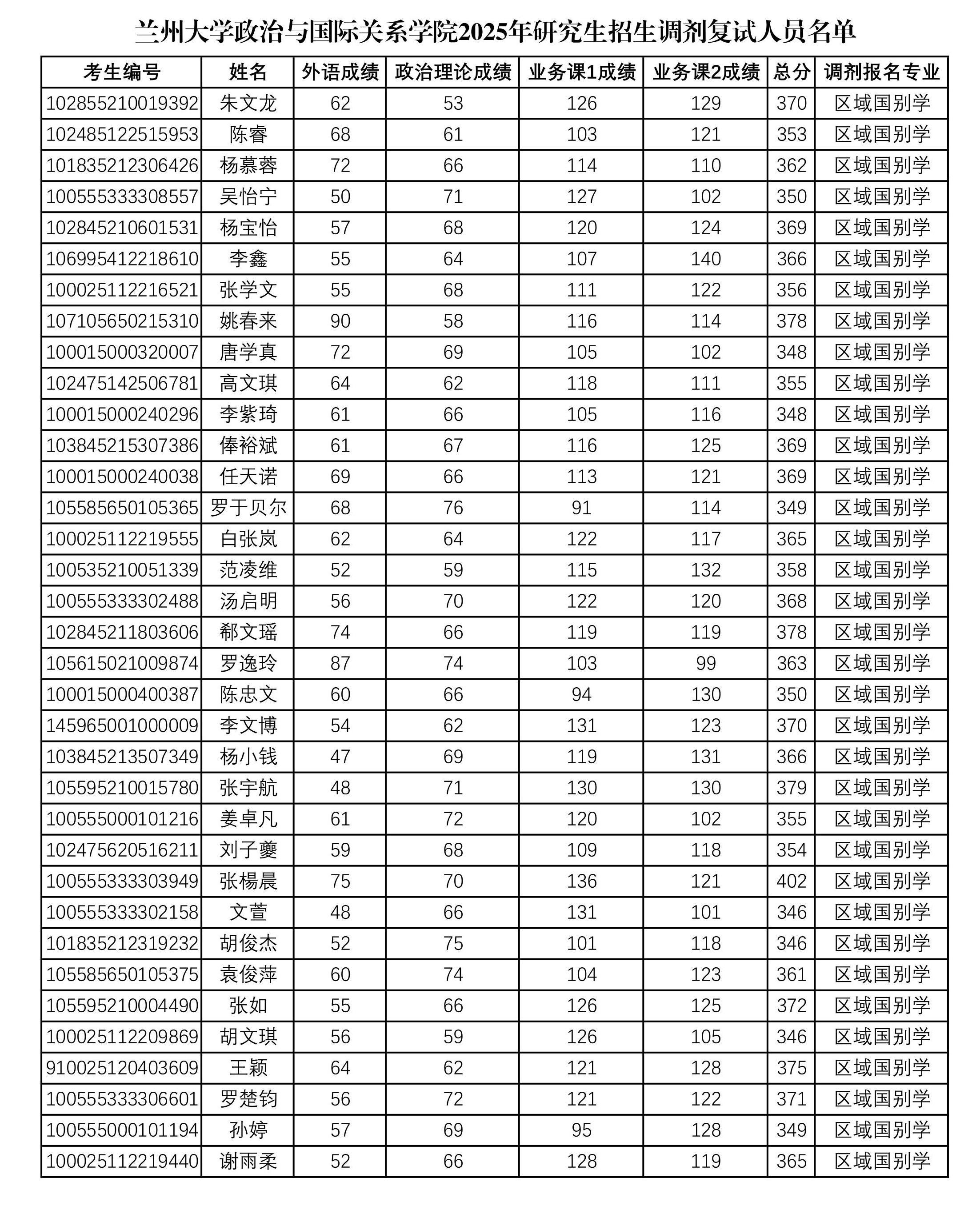
【硕士招生】51黑料 2025年研究生招生调剂复试人员名单
日期:2025-04-09
作者:
点击:[]
上一篇:
【硕士招生】51黑料 政治与国际关系学...
下一篇:
【硕士招生】51黑料 政治与国际关系学...